這些年,數控車工考級和技術大賽試題中都會有二次曲線的概括呈現,但題型紛歧,為了讓我們輕松體會編程方法,特總結了幾種西門子系統常見的橢圓概括的編程,用到了宏程序的一些常識。
1 知識準備
1 . 1 條件跳轉指令
向前跳轉指令: I F 條件 GOTOF 某行標記
向后跳轉指令: I F 條件 GOTOB 某行標記
1 . 2 可編程的零點偏置指令
G158 X) Z)
…
G158 ;取消偏置
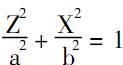
1 . 3 橢圓方程
程序: 
其中, a 、 b分別為 Z、 X軸上對應的短半軸。
2 編程舉例
任務 1 : 編寫下圖半橢圓的加工程序, 毛坯為5 40 @ 100的 45鋼, 其余部分的程序省略。橢圓方程為:

任務分析:因橢圓變成沒有特定的循環指令套用,所以考慮采用宏程序編程。

任務 2 :編寫下圖不完整半橢圓的加工程序, 毛 坯為 5 40 @ 100的 45鋼,其余部分的程序省略。
橢圓方程為:






以上是對西門子系統橢圓編程的一些經驗總結,希望能對您的學習有所幫助
本文由 伯特利技術文章 整理發表,文章來自網絡僅參考學習,本站不承擔任何法律責任。
伯特利數控一直以盡心、盡力、盡意的態度把握每一臺 加工中心、鉆攻中心的質量
相關文章可查閱本站:技術文章 或本文下方 標簽 分類
相關產品可查閱本站:產品中心
數控教學論文及行業發展資訊可查閱本站:行業資訊
2024-11
本文以組合式六角亭模型為實例,分析工藝難點與加工可行性,指出該模型的加工難點是模型形狀不規則和整體剛性差,并通過設計新的工藝方案解決加工難點,完成了模型整體的加工。新的加工工藝有助于提高加工效率和精度,為五軸數控加工提供了一個典型案例,對于五軸加工中心數控加工也具有指導作用和重要… [了解更多]
2024-11
宇匠數控 備注:為保證文章的完整度,本文核心內容由PDF格式顯示,如未有顯示請刷新或轉換瀏覽器嘗試,手機瀏覽可能無法正常使用!本文摘要:通過對混聯五軸加工中心自適應深度學習控制方法的 研 究,可 知 此 方 法 的 創 新 之 處 在 于:1)建 立 了 機 床 的 運 動 學 … [了解更多]
2024-11
宇匠數控 備注:為保證文章的完整度,本文核心內容由PDF格式顯示,如未有顯示請刷新或轉換瀏覽器嘗試,手機瀏覽可能無法正常使用!本文摘要:1)本文建立了基于轉角向量和雙弦弓高的局部能量光順算法,該方法以刀心點光順前后最大許用偏移量作為約束,通過計算拐角處微小線段局部能量最優解,可使… [了解更多]
2024-11
在機測量技術由于其成本低、檢測效率高、無需二次裝夾等優勢被廣泛用于零件加工測量當中,使得五軸加工中心和五軸鉆攻中心,同時又兼具測量功能。在機測量系統的構成如圖1所示,硬件部分主要是由高精度探頭、信號接收器、機床整個本體,軟件部分由機床控制系統、測量軟件等組成[8]。待零件加工完成… [了解更多]